Ir al contenido principal
Buscar
Buscar este blog
Portafolio Miguel Pérez IU Pascual Bravo
Compartir
Obtener enlace
Facebook
X
Pinterest
Correo electrónico
Otras aplicaciones
Etiquetas
Cálculo Diferencial
abril 25, 2023
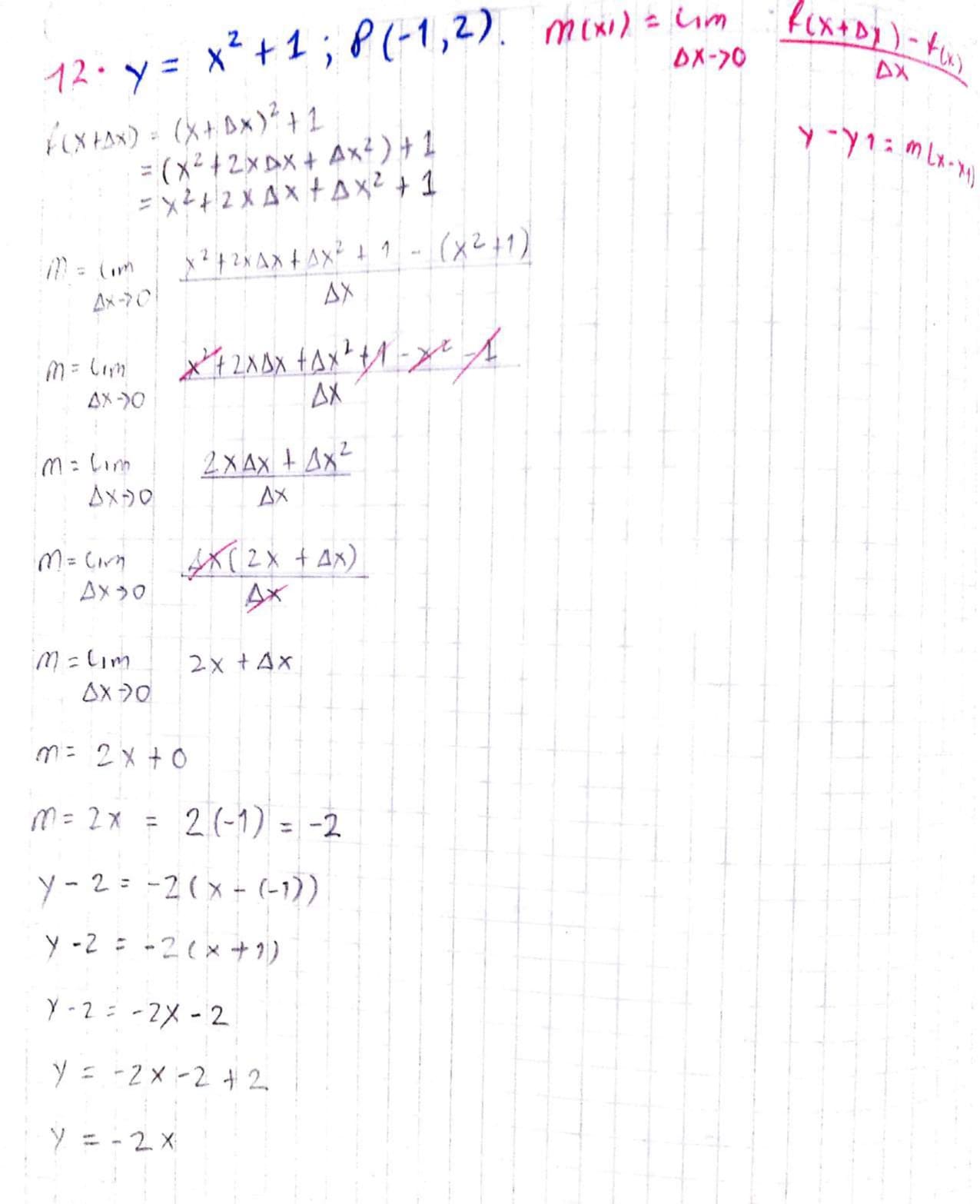
Calculando Derivadas
Solución
Solución
Comentarios
Entradas populares
mayo 01, 2025
Herramientas para análisis estático de seguridad
abril 25, 2023
Fundamentos sobre archivos XML
Comentarios
Publicar un comentario